近日,淮阴师范学院生物质能团队在《Catalysis Letters》上发表题为“Catalytic liquefaction of highly inert refining residue over an attapulgite‑supported niobium catalyst”的论文,该研究论文以淮阴师范学院为第一完成单位,论文得到了国家自然科学基金的支持。《Catalysis Letters》是催化研究领域重要期刊,最新影响因子为3.186。
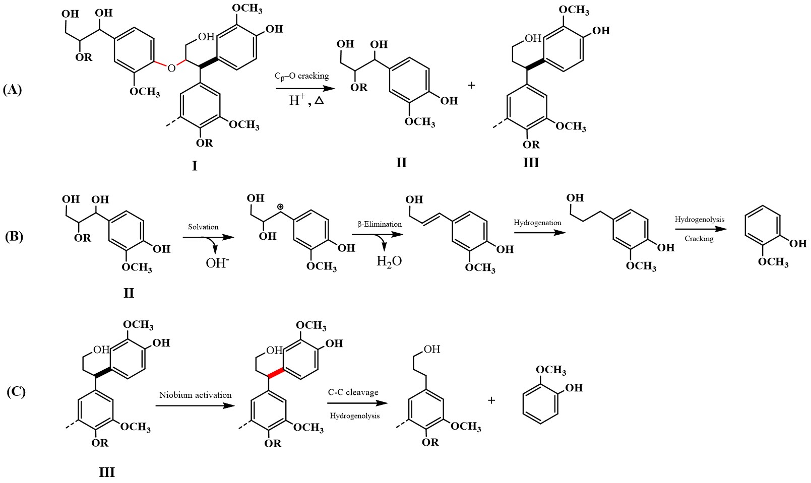
破解高惰性生物炼制木质素的抗降解屏障是实现其有效利用的前提。通过设计构筑兼具活化惰性C-C键和催化木质素连接键断裂功能的载铌凹凸棒石催化剂,实现了高惰性木质素的高效解聚和定向转化。本研究为工业木质素制备愈创木酚等高值产品提供了重要参考。

文章链接:https://doi.org/10.1007/s10562-021-03889-x
编辑:单步顺 审核:张莉莉